春日迟迟,春景熙熙。人间三月,万物复苏,好事正酿,寄予了人们对生活的热爱和希望。本周同学们学习状态良好,宿舍氛围温馨。为了给同学们营造一个干净整洁,温馨舒适的宿舍环境,增强同学们的安全意识,引导同学们养成良好的卫生习惯,九州娱乐
按例进行第三周的宿舍卫生检查活动。
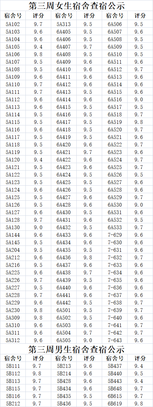
在此次检查中,我们发现大部分宿舍卫生情况良好,桌面摆放整齐有序,地面干净整洁,没有出现杂物堆积过多和使用违规电器的情况。但个别宿舍仍有一些不足:桌面堆放的杂物过多,地面不够干净整洁且厕所卫生情况有待改进。希望同学们再接再厉,齐心协力打造温馨整洁的宿舍环境!

下面让我们康康同学们温馨的宿舍小家吧~




“明之尚美,馨德亦缘。”同学们发挥自己的主观能动性,打造干净整洁的宿舍环境,让我们能够收获愉悦和轻松的心情,同时也感受到家一般的安心。同学们也要继续努力,和室友共同打造一个温馨幸福的“小家”,一起同行,一同成长。
温馨提示:
1. 寒风不息,近日早晚温差较大,出门之际,同学们注意查看天气预报,及时增减衣物,预防疾病。
2. 春日乍暖,正是运动的好时节。学习之余,同学们别忘记多出门走走,让适当运动带来良好的体质。
3. 安全用电,预防火灾。在保持室内卫生的同时,同学们请注意消防安全,外出及时关闭电源,避免使用大功率电器。
(审核:晁梦雨)