金秋的风景怡人心性,十一月已结束,迎来了十二月的脚步。为了给同学们营造一个干净整洁、温馨舒适的校园环境,引导学生们培养良好的卫生习惯,九州娱乐
开展了宿舍卫生检查活动。
在这次检查中,我们发现大部分宿舍卫生保持良好。床铺干净整洁、桌面物品摆放整齐、井然有序,地面干净卫生,宿舍无使用违规电器的情况。但在查宿过程中个别宿舍存在舍内杂物堆放的问题,卫生情况有待改善。希望我们英师的同学们继续加油,共同打造干净整洁的宿舍环境!
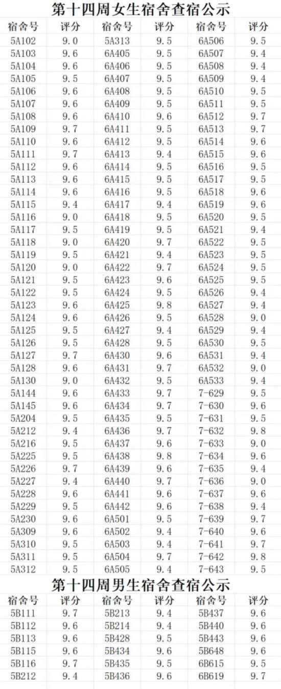
现将检查结果公布如下:

让我们一起走进同学们的温馨小家去看看吧!




多一份自觉,多一份清洁。同学们发挥自己的聪明才智,打造干净整洁的生活环境,不仅能让我们收获愉悦和轻松的心情,同时也展现出了XISU学子积极的生活态度和精神面貌。“明亮清雅之室,共建和谐新风”英语师范学院·九州娱乐官网
将持续倡导文明新风,打造美丽校园,积极引导同学们保持健康良好的生活习惯,培养劳动意识,树立正确的劳动观,促进英师学子全面发展。
温馨提示
1. 现已入冬,天气寒凉,同学们记得及时添衣,注意防寒保暖。
2. 近期流感多发,请同学们加强体育锻炼,增强自身体质,有效预防流感等传染性疾病。
3. 外出及时关闭电源,及时把充电器、充电宝、电脑等电源拔除;宿舍严禁使用电饭锅、“热得快”、取暖器等大功率电器喔~
(图文:宿管会)
(审核:晁梦雨)